Soft QCD (inelastic)

Soft QCD (inelastic) : FB Correlations : b(Nch) vs Δη

ℹ️Choose generators/versions/tunes to plot : either from a pre-defined preset (left button) or from all available MCs (right button)

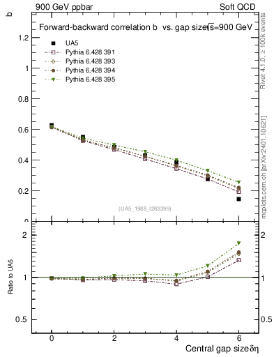
ppbar @ 900 GeV

Plot of fbcorr-vs-deta in 900 GeV ppbar collisions

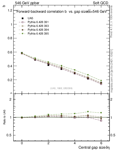
ppbar @ 546 GeV

Plot of fbcorr-vs-deta in 546 GeV ppbar collisions

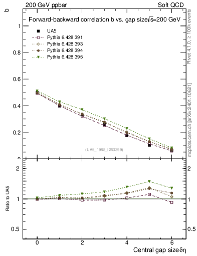
ppbar @ 200 GeV

Plot of fbcorr-vs-deta in 200 GeV ppbar collisions