Soft QCD (inelastic)

<pT>j vs Nch <pT> vs Nch Energy flow Forward energy flow ratio EM energy spectrum Hadronic energy spectrum Total energy spectrum η Distributions Rapidity gap size Rapidity Gaps (MC only) Jet pT K0S2pippim_pt Kst0Kst0b2pippim_pt Kst0Kst0b_pt LLbar_pt n.avgk n.E n.eflow n.k Multiplicity Distributions Omega2phi_pt Omegapm_pt phi2pippim_pt pT Distributions <pT> vs mass sqrts.xsec Σ(ET) Σ(ET) vs Nch Diffractive ξ Xi2phi_pt Cross sections

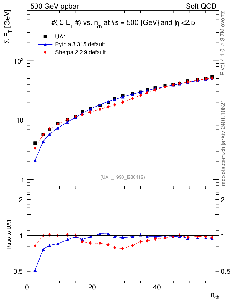
Soft QCD (inelastic) : Σ(ET) vs Nch

ℹ️Choose generators/versions/tunes to plot : either from a pre-defined preset (left button) or from all available MCs (right button)

ppbar @ 900 GeV

Plot of sumEt-vs-nch in 900 GeV ppbar collisions

ppbar @ 500 GeV

Plot of sumEt-vs-nch in 500 GeV ppbar collisions

ppbar @ 200 GeV

Plot of sumEt-vs-nch in 200 GeV ppbar collisions