LHC@HOME
CARDS
COMPARISON
Tunes
Generators
PLOTS
4-lepton
b
b
Elastic
Heavy Ion : minbias
Jets
Soft QCD (inelastic)
Soft QCD (nsd only)
Total σ
Top (t-channel)
Top (all)
Top (parton level)
Top (t
t
)
Underlying Event
W+Jet
W
WW
Z+Jet
ee : γ*/Z (hadronic)
Z (Drell-Yan)
ABOUT
Soft QCD (nsd only)
<pT> vs Nch
Energy flow
η Distributions
Multiplicity Distributions
pT Distributions
Identified Particles : Y
K0S
Λ
Ξ-
Identified Particles : pT
K0S
Λ
Ξ-
Identified Particles : Ratios
Λ/K0S vs |y|
Λ/K0S vs pT
Ξ-/Λ vs |y|
Ξ-/Λ vs pT
Soft QCD (nsd only) : pT Distributions
Pythia 8 : Rad Variations
General-Purpose MCs
Main
Herwig vs Pythia
Pythia 6 vs 8
All C++ Generators
Soft-Inclusive MCs
Min-Bias Tunes
UE Tunes
EPOS vs Pythia
Pythia 8
Matched/Merged MCs
vs GPMCs
Powheg-Box
Herwig
Main
Herwig++
Powheg
Herwig7 vs Pythia
Herwig7 vs Sherpa
Pythia 8
Main
A14
AU2-PDFs
Diffraction
LEP
Rad Variations
No CR
4Cx
Tevatron
Py8 vs Py6
Py8 vs Herwig
Py8 vs Sherpa
Pythia 6
Main
Py6 vs Py8
P12-RadFrag
P12-MpiCR
AMBT2 vs Z2
AUET2B-PDFs
P12-PDFs
CTEQ6 vs LO*
IBK LOPDFs
IBK NLOPDFs
Perugia History
P11-All
LHC tunes
Tevatron
Old vs P12
Sherpa
Main
Customize
ℹ️
Choose generators/versions/tunes to plot : either from a pre-defined preset (left button) or from all available MCs (right button)
pp @ 900 GeV
details
Download as:
.pdf
.eps
.png
.script
#
Analysis ID:
CMS_2010_I845323
Hist ID:
/CMS_2010_I845323/d07-x01-y01
CMS experiment:
data
|
article paper
|
hepdata
Pythia 8 (Def):
data
|
generator card
Pythia 8 (no FSR):
data
|
generator card
Pythia 8 (no RapOrder):
data
|
generator card
details
Download as:
.pdf
.eps
.png
.script
#
Analysis ID:
CMS_2010_I845323
Hist ID:
/CMS_2010_I845323/d01-x01-y01
CMS experiment:
data
|
article paper
|
hepdata
Pythia 8 (Def):
data
|
generator card
Pythia 8 (no FSR):
data
|
generator card
Pythia 8 (no RapOrder):
data
|
generator card
details
Download as:
.pdf
.eps
.png
.script
#
Analysis ID:
CMS_2010_I845323
Hist ID:
/CMS_2010_I845323/d01-x01-y02
CMS experiment:
data
|
article paper
|
hepdata
Pythia 8 (Def):
data
|
generator card
Pythia 8 (no FSR):
data
|
generator card
Pythia 8 (no RapOrder):
data
|
generator card
details
Download as:
.pdf
.eps
.png
.script
#
Analysis ID:
CMS_2010_I845323
Hist ID:
/CMS_2010_I845323/d01-x01-y03
CMS experiment:
data
|
article paper
|
hepdata
Pythia 8 (Def):
data
|
generator card
Pythia 8 (no FSR):
data
|
generator card
Pythia 8 (no RapOrder):
data
|
generator card
details
Download as:
.pdf
.eps
.png
.script
#
Analysis ID:
CMS_2010_I845323
Hist ID:
/CMS_2010_I845323/d01-x01-y04
CMS experiment:
data
|
article paper
|
hepdata
Pythia 8 (Def):
data
|
generator card
Pythia 8 (no FSR):
data
|
generator card
Pythia 8 (no RapOrder):
data
|
generator card
details
Download as:
.pdf
.eps
.png
.script
#
Analysis ID:
CMS_2010_I845323
Hist ID:
/CMS_2010_I845323/d02-x01-y01
CMS experiment:
data
|
article paper
|
hepdata
Pythia 8 (Def):
data
|
generator card
Pythia 8 (no FSR):
data
|
generator card
Pythia 8 (no RapOrder):
data
|
generator card
details
Download as:
.pdf
.eps
.png
.script
#
Analysis ID:
CMS_2010_I845323
Hist ID:
/CMS_2010_I845323/d02-x01-y02
CMS experiment:
data
|
article paper
|
hepdata
Pythia 8 (Def):
data
|
generator card
Pythia 8 (no FSR):
data
|
generator card
Pythia 8 (no RapOrder):
data
|
generator card
details
Download as:
.pdf
.eps
.png
.script
#
Analysis ID:
CMS_2010_I845323
Hist ID:
/CMS_2010_I845323/d02-x01-y03
CMS experiment:
data
|
article paper
|
hepdata
Pythia 8 (Def):
data
|
generator card
Pythia 8 (no FSR):
data
|
generator card
Pythia 8 (no RapOrder):
data
|
generator card
details
Download as:
.pdf
.eps
.png
.script
#
Analysis ID:
CMS_2010_I845323
Hist ID:
/CMS_2010_I845323/d02-x01-y04
CMS experiment:
data
|
article paper
|
hepdata
Pythia 8 (Def):
data
|
generator card
Pythia 8 (no FSR):
data
|
generator card
Pythia 8 (no RapOrder):
data
|
generator card
details
Download as:
.pdf
.eps
.png
.script
#
Analysis ID:
CMS_2010_I845323
Hist ID:
/CMS_2010_I845323/d03-x01-y01
CMS experiment:
data
|
article paper
|
hepdata
Pythia 8 (Def):
data
|
generator card
Pythia 8 (no FSR):
data
|
generator card
Pythia 8 (no RapOrder):
data
|
generator card
details
Download as:
.pdf
.eps
.png
.script
#
Analysis ID:
CMS_2010_I845323
Hist ID:
/CMS_2010_I845323/d03-x01-y02
CMS experiment:
data
|
article paper
|
hepdata
Pythia 8 (Def):
data
|
generator card
Pythia 8 (no FSR):
data
|
generator card
Pythia 8 (no RapOrder):
data
|
generator card
details
Download as:
.pdf
.eps
.png
.script
#
Analysis ID:
CMS_2010_I845323
Hist ID:
/CMS_2010_I845323/d03-x01-y03
CMS experiment:
data
|
article paper
|
hepdata
Pythia 8 (Def):
data
|
generator card
Pythia 8 (no FSR):
data
|
generator card
Pythia 8 (no RapOrder):
data
|
generator card
details
Download as:
.pdf
.eps
.png
.script
#
Analysis ID:
CMS_2010_I845323
Hist ID:
/CMS_2010_I845323/d03-x01-y04
CMS experiment:
data
|
article paper
|
hepdata
Pythia 8 (Def):
data
|
generator card
Pythia 8 (no FSR):
data
|
generator card
Pythia 8 (no RapOrder):
data
|
generator card
pp @ 7000 GeV
details
Download as:
.pdf
.eps
.png
.script
#
Analysis ID:
CMS_2010_I855299
Hist ID:
/CMS_2010_I855299/d04-x01-y01
CMS experiment:
data
|
article paper
|
hepdata
Pythia 8 (Def):
data
|
generator card
Pythia 8 (no FSR):
data
|
generator card
Pythia 8 (no RapOrder):
data
|
generator card
details
Download as:
.pdf
.eps
.png
.script
#
Analysis ID:
CMS_2010_I855299
Hist ID:
/CMS_2010_I855299/d01-x01-y01
CMS experiment:
data
|
article paper
|
hepdata
Pythia 8 (Def):
data
|
generator card
Pythia 8 (no FSR):
data
|
generator card
Pythia 8 (no RapOrder):
data
|
generator card
details
Download as:
.pdf
.eps
.png
.script
#
Analysis ID:
CMS_2010_I855299
Hist ID:
/CMS_2010_I855299/d01-x01-y02
CMS experiment:
data
|
article paper
|
hepdata
Pythia 8 (Def):
data
|
generator card
Pythia 8 (no FSR):
data
|
generator card
Pythia 8 (no RapOrder):
data
|
generator card
details
Download as:
.pdf
.eps
.png
.script
#
Analysis ID:
CMS_2010_I855299
Hist ID:
/CMS_2010_I855299/d01-x01-y03
CMS experiment:
data
|
article paper
|
hepdata
Pythia 8 (Def):
data
|
generator card
Pythia 8 (no FSR):
data
|
generator card
Pythia 8 (no RapOrder):
data
|
generator card
details
Download as:
.pdf
.eps
.png
.script
#
Analysis ID:
CMS_2010_I855299
Hist ID:
/CMS_2010_I855299/d01-x01-y04
CMS experiment:
data
|
article paper
|
hepdata
Pythia 8 (Def):
data
|
generator card
Pythia 8 (no FSR):
data
|
generator card
Pythia 8 (no RapOrder):
data
|
generator card
details
Download as:
.pdf
.eps
.png
.script
#
Analysis ID:
CMS_2010_I855299
Hist ID:
/CMS_2010_I855299/d02-x01-y01
CMS experiment:
data
|
article paper
|
hepdata
Pythia 8 (Def):
data
|
generator card
Pythia 8 (no FSR):
data
|
generator card
Pythia 8 (no RapOrder):
data
|
generator card
details
Download as:
.pdf
.eps
.png
.script
#
Analysis ID:
CMS_2010_I855299
Hist ID:
/CMS_2010_I855299/d02-x01-y02
CMS experiment:
data
|
article paper
|
hepdata
Pythia 8 (Def):
data
|
generator card
Pythia 8 (no FSR):
data
|
generator card
Pythia 8 (no RapOrder):
data
|
generator card
details
Download as:
.pdf
.eps
.png
.script
#
Analysis ID:
CMS_2010_I855299
Hist ID:
/CMS_2010_I855299/d02-x01-y03
CMS experiment:
data
|
article paper
|
hepdata
Pythia 8 (Def):
data
|
generator card
Pythia 8 (no FSR):
data
|
generator card
Pythia 8 (no RapOrder):
data
|
generator card
details
Download as:
.pdf
.eps
.png
.script
#
Analysis ID:
CMS_2010_I855299
Hist ID:
/CMS_2010_I855299/d02-x01-y04
CMS experiment:
data
|
article paper
|
hepdata
Pythia 8 (Def):
data
|
generator card
Pythia 8 (no FSR):
data
|
generator card
Pythia 8 (no RapOrder):
data
|
generator card
details
Download as:
.pdf
.eps
.png
.script
#
Analysis ID:
CMS_2010_I855299
Hist ID:
/CMS_2010_I855299/d03-x01-y01
CMS experiment:
data
|
article paper
|
hepdata
Pythia 8 (Def):
data
|
generator card
Pythia 8 (no FSR):
data
|
generator card
Pythia 8 (no RapOrder):
data
|
generator card
details
Download as:
.pdf
.eps
.png
.script
#
Analysis ID:
CMS_2010_I855299
Hist ID:
/CMS_2010_I855299/d03-x01-y02
CMS experiment:
data
|
article paper
|
hepdata
Pythia 8 (Def):
data
|
generator card
Pythia 8 (no FSR):
data
|
generator card
Pythia 8 (no RapOrder):
data
|
generator card
details
Download as:
.pdf
.eps
.png
.script
#
Analysis ID:
CMS_2010_I855299
Hist ID:
/CMS_2010_I855299/d03-x01-y03
CMS experiment:
data
|
article paper
|
hepdata
Pythia 8 (Def):
data
|
generator card
Pythia 8 (no FSR):
data
|
generator card
Pythia 8 (no RapOrder):
data
|
generator card
details
Download as:
.pdf
.eps
.png
.script
#
Analysis ID:
CMS_2010_I855299
Hist ID:
/CMS_2010_I855299/d03-x01-y04
CMS experiment:
data
|
article paper
|
hepdata
Pythia 8 (Def):
data
|
generator card
Pythia 8 (no FSR):
data
|
generator card
Pythia 8 (no RapOrder):
data
|
generator card
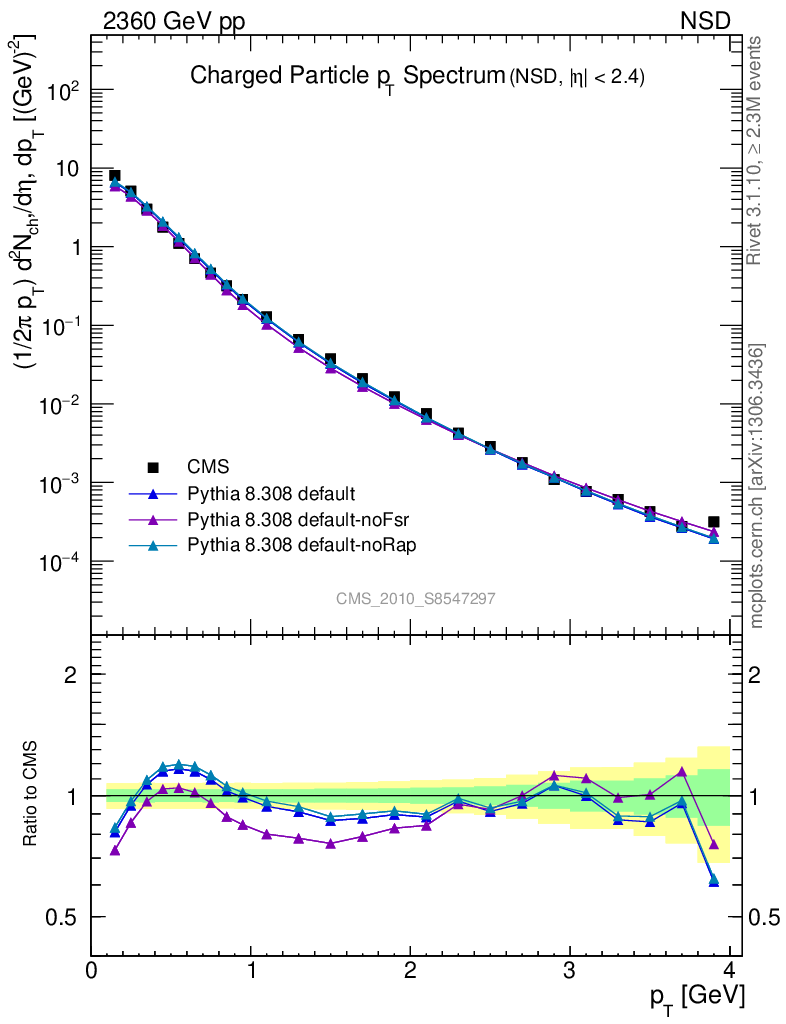
pp @ 2360 GeV
details
Download as:
.pdf
.eps
.png
.script
#
Analysis ID:
CMS_2010_I845323
Hist ID:
/CMS_2010_I845323/d07-x01-y02
CMS experiment:
data
|
article paper
|
hepdata
Pythia 8 (Def):
data
|
generator card
Pythia 8 (no FSR):
data
|
generator card
Pythia 8 (no RapOrder):
data
|
generator card
details
Download as:
.pdf
.eps
.png
.script
#
Analysis ID:
CMS_2010_I845323
Hist ID:
/CMS_2010_I845323/d04-x01-y01
CMS experiment:
data
|
article paper
|
hepdata
Pythia 8 (Def):
data
|
generator card
Pythia 8 (no FSR):
data
|
generator card
Pythia 8 (no RapOrder):
data
|
generator card
details
Download as:
.pdf
.eps
.png
.script
#
Analysis ID:
CMS_2010_I845323
Hist ID:
/CMS_2010_I845323/d04-x01-y02
CMS experiment:
data
|
article paper
|
hepdata
Pythia 8 (Def):
data
|
generator card
Pythia 8 (no FSR):
data
|
generator card
Pythia 8 (no RapOrder):
data
|
generator card
details
Download as:
.pdf
.eps
.png
.script
#
Analysis ID:
CMS_2010_I845323
Hist ID:
/CMS_2010_I845323/d04-x01-y03
CMS experiment:
data
|
article paper
|
hepdata
Pythia 8 (Def):
data
|
generator card
Pythia 8 (no FSR):
data
|
generator card
Pythia 8 (no RapOrder):
data
|
generator card
details
Download as:
.pdf
.eps
.png
.script
#
Analysis ID:
CMS_2010_I845323
Hist ID:
/CMS_2010_I845323/d04-x01-y04
CMS experiment:
data
|
article paper
|
hepdata
Pythia 8 (Def):
data
|
generator card
Pythia 8 (no FSR):
data
|
generator card
Pythia 8 (no RapOrder):
data
|
generator card
details
Download as:
.pdf
.eps
.png
.script
#
Analysis ID:
CMS_2010_I845323
Hist ID:
/CMS_2010_I845323/d05-x01-y01
CMS experiment:
data
|
article paper
|
hepdata
Pythia 8 (Def):
data
|
generator card
Pythia 8 (no FSR):
data
|
generator card
Pythia 8 (no RapOrder):
data
|
generator card
details
Download as:
.pdf
.eps
.png
.script
#
Analysis ID:
CMS_2010_I845323
Hist ID:
/CMS_2010_I845323/d05-x01-y02
CMS experiment:
data
|
article paper
|
hepdata
Pythia 8 (Def):
data
|
generator card
Pythia 8 (no FSR):
data
|
generator card
Pythia 8 (no RapOrder):
data
|
generator card
details
Download as:
.pdf
.eps
.png
.script
#
Analysis ID:
CMS_2010_I845323
Hist ID:
/CMS_2010_I845323/d05-x01-y03
CMS experiment:
data
|
article paper
|
hepdata
Pythia 8 (Def):
data
|
generator card
Pythia 8 (no FSR):
data
|
generator card
Pythia 8 (no RapOrder):
data
|
generator card
details
Download as:
.pdf
.eps
.png
.script
#
Analysis ID:
CMS_2010_I845323
Hist ID:
/CMS_2010_I845323/d05-x01-y04
CMS experiment:
data
|
article paper
|
hepdata
Pythia 8 (Def):
data
|
generator card
Pythia 8 (no FSR):
data
|
generator card
Pythia 8 (no RapOrder):
data
|
generator card
details
Download as:
.pdf
.eps
.png
.script
#
Analysis ID:
CMS_2010_I845323
Hist ID:
/CMS_2010_I845323/d06-x01-y01
CMS experiment:
data
|
article paper
|
hepdata
Pythia 8 (Def):
data
|
generator card
Pythia 8 (no FSR):
data
|
generator card
Pythia 8 (no RapOrder):
data
|
generator card
details
Download as:
.pdf
.eps
.png
.script
#
Analysis ID:
CMS_2010_I845323
Hist ID:
/CMS_2010_I845323/d06-x01-y02
CMS experiment:
data
|
article paper
|
hepdata
Pythia 8 (Def):
data
|
generator card
Pythia 8 (no FSR):
data
|
generator card
Pythia 8 (no RapOrder):
data
|
generator card
details
Download as:
.pdf
.eps
.png
.script
#
Analysis ID:
CMS_2010_I845323
Hist ID:
/CMS_2010_I845323/d06-x01-y03
CMS experiment:
data
|
article paper
|
hepdata
Pythia 8 (Def):
data
|
generator card
Pythia 8 (no FSR):
data
|
generator card
Pythia 8 (no RapOrder):
data
|
generator card
details
Download as:
.pdf
.eps
.png
.script
#
Analysis ID:
CMS_2010_I845323
Hist ID:
/CMS_2010_I845323/d06-x01-y04
CMS experiment:
data
|
article paper
|
hepdata
Pythia 8 (Def):
data
|
generator card
Pythia 8 (no FSR):
data
|
generator card
Pythia 8 (no RapOrder):
data
|
generator card