W

Dm.pt Dstm.pt Jet pT Lepton η

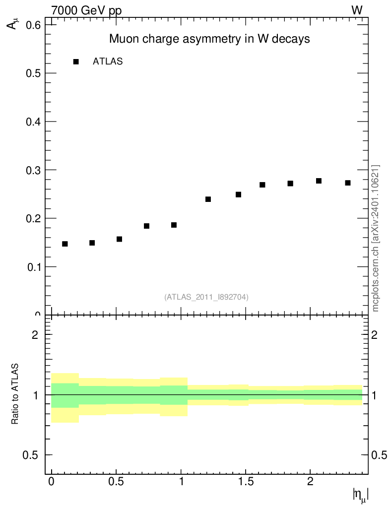
W : Charge asymmetry : vs η

ℹ️Choose generators/versions/tunes to plot : either from a pre-defined preset (left button) or from all available MCs (right button)
There are no MC histograms for the selected preset. Please choose another one.

pp @ 7000 GeV

Plot of Amu-vs-eta in 7000 GeV pp collisions