LHC@HOME
CARDS
COMPARISON
Tunes
Generators
PLOTS
4-lepton
b
b
Elastic
Heavy Ion : minbias
Jets
Soft QCD (inelastic)
Soft QCD (nsd only)
Total σ
Top (t-channel)
Top (all)
Top (parton level)
Top (t
t
)
Underlying Event
W+Jet
W
WW
Z+Jet
ee : γ*/Z (hadronic)
Z (Drell-Yan)
ABOUT
Z+Jet
Underlying event
<p
T
>
p
T
spectrum
Nch
Scalar Σ(p
T
)
Generalized angularities
LHA λ
1
0.5
LHA λ
1
0.5
(charged only)
Groomed LHA λ
1
0.5
Groomed LHA λ
1
0.5
(charged only)
Multiplicity λ
0
0
Groomed multiplicity λ
0
0
Multiplicity λ
0
0
(charged only)
Groomed multiplicity λ
0
0
(charged only)
(p
D
T
)
2
λ
2
0
(p
D
T
)
2
λ
2
0
(charged only)
Groomed (p
D
T
)
2
λ
2
0
Groomed (p
D
T
)
2
λ
2
0
(charged only)
Thrust λ
1
2
Thrust λ
1
2
(charged only)
Groomed thrust λ
1
2
Groomed thrust λ
1
2
(charged only)
Width λ
1
1
Width λ
1
1
(charged only)
Groomed width λ
1
1
Groomed width λ
1
1
(charged only)
Jet mass
Jet mass
Filtered jet mass
Pruned jet mass
Trimmed jet mass
Dijet mass
Jet p
T
Jet p
T
ratio
Jet rapidity
Δ
rel
pT(jets)
njets_njets
pT Z
pT(Z) to pT(jet) ratio
y Z
Δφ (jet, Z)
p
T
balance (jet, Z)
ΔR (jet, Z)
ΔR
min
(jet, Z)
Δy (jet, Z)
HT(Z+jets)
Δφ (dijet, Z)
p
T
balance (dijet, Z)
Dijet
Δφ
ΔR
Δy
p
T
p
T
ratio to m
Jet Multiplicities
Jet multiplicity
Dilepton
p
T
ratio
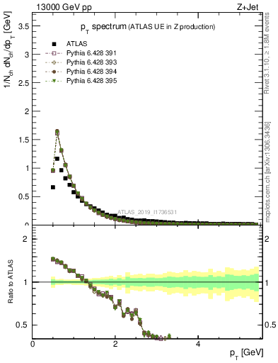
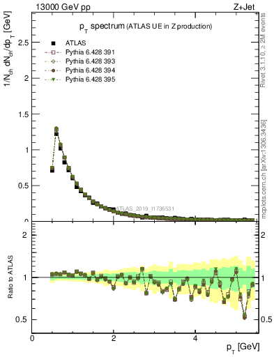
Z+Jet : Underlying event : p
T
spectrum
Pythia 6 : IBK NLOPDFs
General-Purpose MCs
Main
Herwig vs Pythia
Pythia 6 vs 8
All C++ Generators
Soft-Inclusive MCs
Min-Bias Tunes
UE Tunes
EPOS vs Pythia
Pythia 8
Matched/Merged MCs
Main
vs GPMCs
Powheg-Box
Herwig
Main
Herwig++
Powheg
Herwig7 vs Pythia
Herwig7 vs Sherpa
Pythia 8
Main
A14
AU2-PDFs
Diffraction
LEP
Rad Variations
No CR
4Cx
Tevatron
Py8 vs Py6
Py8 vs Herwig
Py8 vs Sherpa
Pythia 6
Main
Py6 vs Py8
P12-RadFrag
P12-MpiCR
AMBT2 vs Z2
AUET2B-PDFs
P12-PDFs
CTEQ6 vs LO*
IBK LOPDFs
IBK NLOPDFs
Perugia History
P11-All
LHC tunes
Tevatron
Old vs P12
Sherpa
Main
Matching/Merging
Customize
ℹ️
Choose generators/versions/tunes to plot : either from a pre-defined preset (left button) or from all available MCs (right button)
pp @ 13000 GeV
details
Download as:
.pdf
.eps
.png
.script
#
Analysis ID:
ATLAS_2019_I1736531
Hist ID:
/ATLAS_2019_I1736531/d82-x01-y01
ATLAS experiment:
data
|
article paper
|
hepdata
Pythia 6 (391:ICT6L):
data
|
generator card
Pythia 6 (393:ICT6N):
data
|
generator card
Pythia 6 (394:ICT10N):
data
|
generator card
Pythia 6 (395:IM8N):
data
|
generator card
details
Download as:
.pdf
.eps
.png
.script
#
Analysis ID:
ATLAS_2019_I1736531
Hist ID:
/ATLAS_2019_I1736531/d75-x01-y01
ATLAS experiment:
data
|
article paper
|
hepdata
Pythia 6 (391:ICT6L):
data
|
generator card
Pythia 6 (393:ICT6N):
data
|
generator card
Pythia 6 (394:ICT10N):
data
|
generator card
Pythia 6 (395:IM8N):
data
|
generator card
details
Download as:
.pdf
.eps
.png
.script
#
Analysis ID:
ATLAS_2019_I1736531
Hist ID:
/ATLAS_2019_I1736531/d67-x01-y01
ATLAS experiment:
data
|
article paper
|
hepdata
Pythia 6 (391:ICT6L):
data
|
generator card
Pythia 6 (393:ICT6N):
data
|
generator card
Pythia 6 (394:ICT10N):
data
|
generator card
Pythia 6 (395:IM8N):
data
|
generator card
details
Download as:
.pdf
.eps
.png
.script
#
Analysis ID:
ATLAS_2019_I1736531
Hist ID:
/ATLAS_2019_I1736531/d59-x01-y01
ATLAS experiment:
data
|
article paper
|
hepdata
Pythia 6 (391:ICT6L):
data
|
generator card
Pythia 6 (393:ICT6N):
data
|
generator card
Pythia 6 (394:ICT10N):
data
|
generator card
Pythia 6 (395:IM8N):
data
|
generator card
details
Download as:
.pdf
.eps
.png
.script
#
Analysis ID:
ATLAS_2019_I1736531
Hist ID:
/ATLAS_2019_I1736531/d51-x01-y01
ATLAS experiment:
data
|
article paper
|
hepdata
Pythia 6 (391:ICT6L):
data
|
generator card
Pythia 6 (393:ICT6N):
data
|
generator card
Pythia 6 (394:ICT10N):
data
|
generator card
Pythia 6 (395:IM8N):
data
|
generator card
details
Download as:
.pdf
.eps
.png
.script
#
Analysis ID:
ATLAS_2019_I1736531
Hist ID:
/ATLAS_2019_I1736531/d403-x01-y01
ATLAS experiment:
data
|
article paper
|
hepdata
Pythia 6 (391:ICT6L):
data
|
generator card
Pythia 6 (393:ICT6N):
data
|
generator card
Pythia 6 (394:ICT10N):
data
|
generator card
Pythia 6 (395:IM8N):
data
|
generator card
details
Download as:
.pdf
.eps
.png
.script
#
Analysis ID:
ATLAS_2019_I1736531
Hist ID:
/ATLAS_2019_I1736531/d395-x01-y01
ATLAS experiment:
data
|
article paper
|
hepdata
Pythia 6 (391:ICT6L):
data
|
generator card
Pythia 6 (393:ICT6N):
data
|
generator card
Pythia 6 (394:ICT10N):
data
|
generator card
Pythia 6 (395:IM8N):
data
|
generator card
details
Download as:
.pdf
.eps
.png
.script
#
Analysis ID:
ATLAS_2019_I1736531
Hist ID:
/ATLAS_2019_I1736531/d387-x01-y01
ATLAS experiment:
data
|
article paper
|
hepdata
Pythia 6 (391:ICT6L):
data
|
generator card
Pythia 6 (393:ICT6N):
data
|
generator card
Pythia 6 (394:ICT10N):
data
|
generator card
Pythia 6 (395:IM8N):
data
|
generator card
details
Download as:
.pdf
.eps
.png
.script
#
Analysis ID:
ATLAS_2019_I1736531
Hist ID:
/ATLAS_2019_I1736531/d379-x01-y01
ATLAS experiment:
data
|
article paper
|
hepdata
Pythia 6 (391:ICT6L):
data
|
generator card
Pythia 6 (393:ICT6N):
data
|
generator card
Pythia 6 (394:ICT10N):
data
|
generator card
Pythia 6 (395:IM8N):
data
|
generator card
details
Download as:
.pdf
.eps
.png
.script
#
Analysis ID:
ATLAS_2019_I1736531
Hist ID:
/ATLAS_2019_I1736531/d371-x01-y01
ATLAS experiment:
data
|
article paper
|
hepdata
Pythia 6 (391:ICT6L):
data
|
generator card
Pythia 6 (393:ICT6N):
data
|
generator card
Pythia 6 (394:ICT10N):
data
|
generator card
Pythia 6 (395:IM8N):
data
|
generator card
details
Download as:
.pdf
.eps
.png
.script
#
Analysis ID:
ATLAS_2019_I1736531
Hist ID:
/ATLAS_2019_I1736531/d243-x01-y01
ATLAS experiment:
data
|
article paper
|
hepdata
Pythia 6 (391:ICT6L):
data
|
generator card
Pythia 6 (393:ICT6N):
data
|
generator card
Pythia 6 (394:ICT10N):
data
|
generator card
Pythia 6 (395:IM8N):
data
|
generator card
details
Download as:
.pdf
.eps
.png
.script
#
Analysis ID:
ATLAS_2019_I1736531
Hist ID:
/ATLAS_2019_I1736531/d235-x01-y01
ATLAS experiment:
data
|
article paper
|
hepdata
Pythia 6 (391:ICT6L):
data
|
generator card
Pythia 6 (393:ICT6N):
data
|
generator card
Pythia 6 (394:ICT10N):
data
|
generator card
Pythia 6 (395:IM8N):
data
|
generator card
details
Download as:
.pdf
.eps
.png
.script
#
Analysis ID:
ATLAS_2019_I1736531
Hist ID:
/ATLAS_2019_I1736531/d227-x01-y01
ATLAS experiment:
data
|
article paper
|
hepdata
Pythia 6 (391:ICT6L):
data
|
generator card
Pythia 6 (393:ICT6N):
data
|
generator card
Pythia 6 (394:ICT10N):
data
|
generator card
Pythia 6 (395:IM8N):
data
|
generator card
details
Download as:
.pdf
.eps
.png
.script
#
Analysis ID:
ATLAS_2019_I1736531
Hist ID:
/ATLAS_2019_I1736531/d219-x01-y01
ATLAS experiment:
data
|
article paper
|
hepdata
Pythia 6 (391:ICT6L):
data
|
generator card
Pythia 6 (393:ICT6N):
data
|
generator card
Pythia 6 (394:ICT10N):
data
|
generator card
Pythia 6 (395:IM8N):
data
|
generator card
details
Download as:
.pdf
.eps
.png
.script
#
Analysis ID:
ATLAS_2019_I1736531
Hist ID:
/ATLAS_2019_I1736531/d83-x01-y01
ATLAS experiment:
data
|
article paper
|
hepdata
Pythia 6 (391:ICT6L):
data
|
generator card
Pythia 6 (393:ICT6N):
data
|
generator card
Pythia 6 (394:ICT10N):
data
|
generator card
Pythia 6 (395:IM8N):
data
|
generator card
details
Download as:
.pdf
.eps
.png
.script
#
Analysis ID:
ATLAS_2019_I1736531
Hist ID:
/ATLAS_2019_I1736531/d210-x01-y01
ATLAS experiment:
data
|
article paper
|
hepdata
Pythia 6 (391:ICT6L):
data
|
generator card
Pythia 6 (393:ICT6N):
data
|
generator card
Pythia 6 (394:ICT10N):
data
|
generator card
Pythia 6 (395:IM8N):
data
|
generator card
details
Download as:
.pdf
.eps
.png
.script
#
Analysis ID:
ATLAS_2019_I1736531
Hist ID:
/ATLAS_2019_I1736531/d74-x01-y01
ATLAS experiment:
data
|
article paper
|
hepdata
Pythia 6 (391:ICT6L):
data
|
generator card
Pythia 6 (393:ICT6N):
data
|
generator card
Pythia 6 (394:ICT10N):
data
|
generator card
Pythia 6 (395:IM8N):
data
|
generator card
details
Download as:
.pdf
.eps
.png
.script
#
Analysis ID:
ATLAS_2019_I1736531
Hist ID:
/ATLAS_2019_I1736531/d66-x01-y01
ATLAS experiment:
data
|
article paper
|
hepdata
Pythia 6 (391:ICT6L):
data
|
generator card
Pythia 6 (393:ICT6N):
data
|
generator card
Pythia 6 (394:ICT10N):
data
|
generator card
Pythia 6 (395:IM8N):
data
|
generator card
details
Download as:
.pdf
.eps
.png
.script
#
Analysis ID:
ATLAS_2019_I1736531
Hist ID:
/ATLAS_2019_I1736531/d58-x01-y01
ATLAS experiment:
data
|
article paper
|
hepdata
Pythia 6 (391:ICT6L):
data
|
generator card
Pythia 6 (393:ICT6N):
data
|
generator card
Pythia 6 (394:ICT10N):
data
|
generator card
Pythia 6 (395:IM8N):
data
|
generator card
details
Download as:
.pdf
.eps
.png
.script
#
Analysis ID:
ATLAS_2019_I1736531
Hist ID:
/ATLAS_2019_I1736531/d50-x01-y01
ATLAS experiment:
data
|
article paper
|
hepdata
Pythia 6 (391:ICT6L):
data
|
generator card
Pythia 6 (393:ICT6N):
data
|
generator card
Pythia 6 (394:ICT10N):
data
|
generator card
Pythia 6 (395:IM8N):
data
|
generator card
details
Download as:
.pdf
.eps
.png
.script
#
Analysis ID:
ATLAS_2019_I1736531
Hist ID:
/ATLAS_2019_I1736531/d402-x01-y01
ATLAS experiment:
data
|
article paper
|
hepdata
Pythia 6 (391:ICT6L):
data
|
generator card
Pythia 6 (393:ICT6N):
data
|
generator card
Pythia 6 (394:ICT10N):
data
|
generator card
Pythia 6 (395:IM8N):
data
|
generator card
details
Download as:
.pdf
.eps
.png
.script
#
Analysis ID:
ATLAS_2019_I1736531
Hist ID:
/ATLAS_2019_I1736531/d394-x01-y01
ATLAS experiment:
data
|
article paper
|
hepdata
Pythia 6 (391:ICT6L):
data
|
generator card
Pythia 6 (393:ICT6N):
data
|
generator card
Pythia 6 (394:ICT10N):
data
|
generator card
Pythia 6 (395:IM8N):
data
|
generator card
details
Download as:
.pdf
.eps
.png
.script
#
Analysis ID:
ATLAS_2019_I1736531
Hist ID:
/ATLAS_2019_I1736531/d386-x01-y01
ATLAS experiment:
data
|
article paper
|
hepdata
Pythia 6 (391:ICT6L):
data
|
generator card
Pythia 6 (393:ICT6N):
data
|
generator card
Pythia 6 (394:ICT10N):
data
|
generator card
Pythia 6 (395:IM8N):
data
|
generator card
details
Download as:
.pdf
.eps
.png
.script
#
Analysis ID:
ATLAS_2019_I1736531
Hist ID:
/ATLAS_2019_I1736531/d378-x01-y01
ATLAS experiment:
data
|
article paper
|
hepdata
Pythia 6 (391:ICT6L):
data
|
generator card
Pythia 6 (393:ICT6N):
data
|
generator card
Pythia 6 (394:ICT10N):
data
|
generator card
Pythia 6 (395:IM8N):
data
|
generator card
details
Download as:
.pdf
.eps
.png
.script
#
Analysis ID:
ATLAS_2019_I1736531
Hist ID:
/ATLAS_2019_I1736531/d370-x01-y01
ATLAS experiment:
data
|
article paper
|
hepdata
Pythia 6 (391:ICT6L):
data
|
generator card
Pythia 6 (393:ICT6N):
data
|
generator card
Pythia 6 (394:ICT10N):
data
|
generator card
Pythia 6 (395:IM8N):
data
|
generator card
details
Download as:
.pdf
.eps
.png
.script
#
Analysis ID:
ATLAS_2019_I1736531
Hist ID:
/ATLAS_2019_I1736531/d242-x01-y01
ATLAS experiment:
data
|
article paper
|
hepdata
Pythia 6 (391:ICT6L):
data
|
generator card
Pythia 6 (393:ICT6N):
data
|
generator card
Pythia 6 (394:ICT10N):
data
|
generator card
Pythia 6 (395:IM8N):
data
|
generator card
details
Download as:
.pdf
.eps
.png
.script
#
Analysis ID:
ATLAS_2019_I1736531
Hist ID:
/ATLAS_2019_I1736531/d234-x01-y01
ATLAS experiment:
data
|
article paper
|
hepdata
Pythia 6 (391:ICT6L):
data
|
generator card
Pythia 6 (393:ICT6N):
data
|
generator card
Pythia 6 (394:ICT10N):
data
|
generator card
Pythia 6 (395:IM8N):
data
|
generator card
details
Download as:
.pdf
.eps
.png
.script
#
Analysis ID:
ATLAS_2019_I1736531
Hist ID:
/ATLAS_2019_I1736531/d226-x01-y01
ATLAS experiment:
data
|
article paper
|
hepdata
Pythia 6 (391:ICT6L):
data
|
generator card
Pythia 6 (393:ICT6N):
data
|
generator card
Pythia 6 (394:ICT10N):
data
|
generator card
Pythia 6 (395:IM8N):
data
|
generator card
details
Download as:
.pdf
.eps
.png
.script
#
Analysis ID:
ATLAS_2019_I1736531
Hist ID:
/ATLAS_2019_I1736531/d218-x01-y01
ATLAS experiment:
data
|
article paper
|
hepdata
Pythia 6 (391:ICT6L):
data
|
generator card
Pythia 6 (393:ICT6N):
data
|
generator card
Pythia 6 (394:ICT10N):
data
|
generator card
Pythia 6 (395:IM8N):
data
|
generator card
details
Download as:
.pdf
.eps
.png
.script
#
Analysis ID:
ATLAS_2019_I1736531
Hist ID:
/ATLAS_2019_I1736531/d211-x01-y01
ATLAS experiment:
data
|
article paper
|
hepdata
Pythia 6 (391:ICT6L):
data
|
generator card
Pythia 6 (393:ICT6N):
data
|
generator card
Pythia 6 (394:ICT10N):
data
|
generator card
Pythia 6 (395:IM8N):
data
|
generator card
details
Download as:
.pdf
.eps
.png
.script
#
Analysis ID:
ATLAS_2019_I1736531
Hist ID:
/ATLAS_2019_I1736531/d212-x01-y01
ATLAS experiment:
data
|
article paper
|
hepdata
Pythia 6 (391:ICT6L):
data
|
generator card
Pythia 6 (393:ICT6N):
data
|
generator card
Pythia 6 (394:ICT10N):
data
|
generator card
Pythia 6 (395:IM8N):
data
|
generator card
details
Download as:
.pdf
.eps
.png
.script
#
Analysis ID:
ATLAS_2019_I1736531
Hist ID:
/ATLAS_2019_I1736531/d76-x01-y01
ATLAS experiment:
data
|
article paper
|
hepdata
Pythia 6 (391:ICT6L):
data
|
generator card
Pythia 6 (393:ICT6N):
data
|
generator card
Pythia 6 (394:ICT10N):
data
|
generator card
Pythia 6 (395:IM8N):
data
|
generator card
details
Download as:
.pdf
.eps
.png
.script
#
Analysis ID:
ATLAS_2019_I1736531
Hist ID:
/ATLAS_2019_I1736531/d68-x01-y01
ATLAS experiment:
data
|
article paper
|
hepdata
Pythia 6 (391:ICT6L):
data
|
generator card
Pythia 6 (393:ICT6N):
data
|
generator card
Pythia 6 (394:ICT10N):
data
|
generator card
Pythia 6 (395:IM8N):
data
|
generator card
details
Download as:
.pdf
.eps
.png
.script
#
Analysis ID:
ATLAS_2019_I1736531
Hist ID:
/ATLAS_2019_I1736531/d60-x01-y01
ATLAS experiment:
data
|
article paper
|
hepdata
Pythia 6 (391:ICT6L):
data
|
generator card
Pythia 6 (393:ICT6N):
data
|
generator card
Pythia 6 (394:ICT10N):
data
|
generator card
Pythia 6 (395:IM8N):
data
|
generator card
details
Download as:
.pdf
.eps
.png
.script
#
Analysis ID:
ATLAS_2019_I1736531
Hist ID:
/ATLAS_2019_I1736531/d52-x01-y01
ATLAS experiment:
data
|
article paper
|
hepdata
Pythia 6 (391:ICT6L):
data
|
generator card
Pythia 6 (393:ICT6N):
data
|
generator card
Pythia 6 (394:ICT10N):
data
|
generator card
Pythia 6 (395:IM8N):
data
|
generator card
details
Download as:
.pdf
.eps
.png
.script
#
Analysis ID:
ATLAS_2019_I1736531
Hist ID:
/ATLAS_2019_I1736531/d404-x01-y01
ATLAS experiment:
data
|
article paper
|
hepdata
Pythia 6 (391:ICT6L):
data
|
generator card
Pythia 6 (393:ICT6N):
data
|
generator card
Pythia 6 (394:ICT10N):
data
|
generator card
Pythia 6 (395:IM8N):
data
|
generator card
details
Download as:
.pdf
.eps
.png
.script
#
Analysis ID:
ATLAS_2019_I1736531
Hist ID:
/ATLAS_2019_I1736531/d396-x01-y01
ATLAS experiment:
data
|
article paper
|
hepdata
Pythia 6 (391:ICT6L):
data
|
generator card
Pythia 6 (393:ICT6N):
data
|
generator card
Pythia 6 (394:ICT10N):
data
|
generator card
Pythia 6 (395:IM8N):
data
|
generator card
details
Download as:
.pdf
.eps
.png
.script
#
Analysis ID:
ATLAS_2019_I1736531
Hist ID:
/ATLAS_2019_I1736531/d388-x01-y01
ATLAS experiment:
data
|
article paper
|
hepdata
Pythia 6 (391:ICT6L):
data
|
generator card
Pythia 6 (393:ICT6N):
data
|
generator card
Pythia 6 (394:ICT10N):
data
|
generator card
Pythia 6 (395:IM8N):
data
|
generator card
details
Download as:
.pdf
.eps
.png
.script
#
Analysis ID:
ATLAS_2019_I1736531
Hist ID:
/ATLAS_2019_I1736531/d380-x01-y01
ATLAS experiment:
data
|
article paper
|
hepdata
Pythia 6 (391:ICT6L):
data
|
generator card
Pythia 6 (393:ICT6N):
data
|
generator card
Pythia 6 (394:ICT10N):
data
|
generator card
Pythia 6 (395:IM8N):
data
|
generator card
details
Download as:
.pdf
.eps
.png
.script
#
Analysis ID:
ATLAS_2019_I1736531
Hist ID:
/ATLAS_2019_I1736531/d372-x01-y01
ATLAS experiment:
data
|
article paper
|
hepdata
Pythia 6 (391:ICT6L):
data
|
generator card
Pythia 6 (393:ICT6N):
data
|
generator card
Pythia 6 (394:ICT10N):
data
|
generator card
Pythia 6 (395:IM8N):
data
|
generator card
details
Download as:
.pdf
.eps
.png
.script
#
Analysis ID:
ATLAS_2019_I1736531
Hist ID:
/ATLAS_2019_I1736531/d244-x01-y01
ATLAS experiment:
data
|
article paper
|
hepdata
Pythia 6 (391:ICT6L):
data
|
generator card
Pythia 6 (393:ICT6N):
data
|
generator card
Pythia 6 (394:ICT10N):
data
|
generator card
Pythia 6 (395:IM8N):
data
|
generator card
details
Download as:
.pdf
.eps
.png
.script
#
Analysis ID:
ATLAS_2019_I1736531
Hist ID:
/ATLAS_2019_I1736531/d236-x01-y01
ATLAS experiment:
data
|
article paper
|
hepdata
Pythia 6 (391:ICT6L):
data
|
generator card
Pythia 6 (393:ICT6N):
data
|
generator card
Pythia 6 (394:ICT10N):
data
|
generator card
Pythia 6 (395:IM8N):
data
|
generator card
details
Download as:
.pdf
.eps
.png
.script
#
Analysis ID:
ATLAS_2019_I1736531
Hist ID:
/ATLAS_2019_I1736531/d228-x01-y01
ATLAS experiment:
data
|
article paper
|
hepdata
Pythia 6 (391:ICT6L):
data
|
generator card
Pythia 6 (393:ICT6N):
data
|
generator card
Pythia 6 (394:ICT10N):
data
|
generator card
Pythia 6 (395:IM8N):
data
|
generator card
details
Download as:
.pdf
.eps
.png
.script
#
Analysis ID:
ATLAS_2019_I1736531
Hist ID:
/ATLAS_2019_I1736531/d220-x01-y01
ATLAS experiment:
data
|
article paper
|
hepdata
Pythia 6 (391:ICT6L):
data
|
generator card
Pythia 6 (393:ICT6N):
data
|
generator card
Pythia 6 (394:ICT10N):
data
|
generator card
Pythia 6 (395:IM8N):
data
|
generator card
details
Download as:
.pdf
.eps
.png
.script
#
Analysis ID:
ATLAS_2019_I1736531
Hist ID:
/ATLAS_2019_I1736531/d84-x01-y01
ATLAS experiment:
data
|
article paper
|
hepdata
Pythia 6 (391:ICT6L):
data
|
generator card
Pythia 6 (393:ICT6N):
data
|
generator card
Pythia 6 (394:ICT10N):
data
|
generator card
Pythia 6 (395:IM8N):
data
|
generator card
details
Download as:
.pdf
.eps
.png
.script
#
Analysis ID:
ATLAS_2019_I1736531
Hist ID:
/ATLAS_2019_I1736531/d213-x01-y01
ATLAS experiment:
data
|
article paper
|
hepdata
Pythia 6 (391:ICT6L):
data
|
generator card
Pythia 6 (393:ICT6N):
data
|
generator card
Pythia 6 (394:ICT10N):
data
|
generator card
Pythia 6 (395:IM8N):
data
|
generator card
details
Download as:
.pdf
.eps
.png
.script
#
Analysis ID:
ATLAS_2019_I1736531
Hist ID:
/ATLAS_2019_I1736531/d85-x01-y01
ATLAS experiment:
data
|
article paper
|
hepdata
Pythia 6 (391:ICT6L):
data
|
generator card
Pythia 6 (393:ICT6N):
data
|
generator card
Pythia 6 (394:ICT10N):
data
|
generator card
Pythia 6 (395:IM8N):
data
|
generator card
details
Download as:
.pdf
.eps
.png
.script
#
Analysis ID:
ATLAS_2019_I1736531
Hist ID:
/ATLAS_2019_I1736531/d77-x01-y01
ATLAS experiment:
data
|
article paper
|
hepdata
Pythia 6 (391:ICT6L):
data
|
generator card
Pythia 6 (393:ICT6N):
data
|
generator card
Pythia 6 (394:ICT10N):
data
|
generator card
Pythia 6 (395:IM8N):
data
|
generator card
details
Download as:
.pdf
.eps
.png
.script
#
Analysis ID:
ATLAS_2019_I1736531
Hist ID:
/ATLAS_2019_I1736531/d69-x01-y01
ATLAS experiment:
data
|
article paper
|
hepdata
Pythia 6 (391:ICT6L):
data
|
generator card
Pythia 6 (393:ICT6N):
data
|
generator card
Pythia 6 (394:ICT10N):
data
|
generator card
Pythia 6 (395:IM8N):
data
|
generator card
details
Download as:
.pdf
.eps
.png
.script
#
Analysis ID:
ATLAS_2019_I1736531
Hist ID:
/ATLAS_2019_I1736531/d61-x01-y01
ATLAS experiment:
data
|
article paper
|
hepdata
Pythia 6 (391:ICT6L):
data
|
generator card
Pythia 6 (393:ICT6N):
data
|
generator card
Pythia 6 (394:ICT10N):
data
|
generator card
Pythia 6 (395:IM8N):
data
|
generator card
details
Download as:
.pdf
.eps
.png
.script
#
Analysis ID:
ATLAS_2019_I1736531
Hist ID:
/ATLAS_2019_I1736531/d53-x01-y01
ATLAS experiment:
data
|
article paper
|
hepdata
Pythia 6 (391:ICT6L):
data
|
generator card
Pythia 6 (393:ICT6N):
data
|
generator card
Pythia 6 (394:ICT10N):
data
|
generator card
Pythia 6 (395:IM8N):
data
|
generator card
details
Download as:
.pdf
.eps
.png
.script
#
Analysis ID:
ATLAS_2019_I1736531
Hist ID:
/ATLAS_2019_I1736531/d405-x01-y01
ATLAS experiment:
data
|
article paper
|
hepdata
Pythia 6 (391:ICT6L):
data
|
generator card
Pythia 6 (393:ICT6N):
data
|
generator card
Pythia 6 (394:ICT10N):
data
|
generator card
Pythia 6 (395:IM8N):
data
|
generator card
details
Download as:
.pdf
.eps
.png
.script
#
Analysis ID:
ATLAS_2019_I1736531
Hist ID:
/ATLAS_2019_I1736531/d397-x01-y01
ATLAS experiment:
data
|
article paper
|
hepdata
Pythia 6 (391:ICT6L):
data
|
generator card
Pythia 6 (393:ICT6N):
data
|
generator card
Pythia 6 (394:ICT10N):
data
|
generator card
Pythia 6 (395:IM8N):
data
|
generator card
details
Download as:
.pdf
.eps
.png
.script
#
Analysis ID:
ATLAS_2019_I1736531
Hist ID:
/ATLAS_2019_I1736531/d389-x01-y01
ATLAS experiment:
data
|
article paper
|
hepdata
Pythia 6 (391:ICT6L):
data
|
generator card
Pythia 6 (393:ICT6N):
data
|
generator card
Pythia 6 (394:ICT10N):
data
|
generator card
Pythia 6 (395:IM8N):
data
|
generator card
details
Download as:
.pdf
.eps
.png
.script
#
Analysis ID:
ATLAS_2019_I1736531
Hist ID:
/ATLAS_2019_I1736531/d221-x01-y01
ATLAS experiment:
data
|
article paper
|
hepdata
Pythia 6 (391:ICT6L):
data
|
generator card
Pythia 6 (393:ICT6N):
data
|
generator card
Pythia 6 (394:ICT10N):
data
|
generator card
Pythia 6 (395:IM8N):
data
|
generator card
details
Download as:
.pdf
.eps
.png
.script
#
Analysis ID:
ATLAS_2019_I1736531
Hist ID:
/ATLAS_2019_I1736531/d229-x01-y01
ATLAS experiment:
data
|
article paper
|
hepdata
Pythia 6 (391:ICT6L):
data
|
generator card
Pythia 6 (393:ICT6N):
data
|
generator card
Pythia 6 (394:ICT10N):
data
|
generator card
Pythia 6 (395:IM8N):
data
|
generator card
details
Download as:
.pdf
.eps
.png
.script
#
Analysis ID:
ATLAS_2019_I1736531
Hist ID:
/ATLAS_2019_I1736531/d237-x01-y01
ATLAS experiment:
data
|
article paper
|
hepdata
Pythia 6 (391:ICT6L):
data
|
generator card
Pythia 6 (393:ICT6N):
data
|
generator card
Pythia 6 (394:ICT10N):
data
|
generator card
Pythia 6 (395:IM8N):
data
|
generator card
details
Download as:
.pdf
.eps
.png
.script
#
Analysis ID:
ATLAS_2019_I1736531
Hist ID:
/ATLAS_2019_I1736531/d245-x01-y01
ATLAS experiment:
data
|
article paper
|
hepdata
Pythia 6 (391:ICT6L):
data
|
generator card
Pythia 6 (393:ICT6N):
data
|
generator card
Pythia 6 (394:ICT10N):
data
|
generator card
Pythia 6 (395:IM8N):
data
|
generator card
details
Download as:
.pdf
.eps
.png
.script
#
Analysis ID:
ATLAS_2019_I1736531
Hist ID:
/ATLAS_2019_I1736531/d373-x01-y01
ATLAS experiment:
data
|
article paper
|
hepdata
Pythia 6 (391:ICT6L):
data
|
generator card
Pythia 6 (393:ICT6N):
data
|
generator card
Pythia 6 (394:ICT10N):
data
|
generator card
Pythia 6 (395:IM8N):
data
|
generator card
details
Download as:
.pdf
.eps
.png
.script
#
Analysis ID:
ATLAS_2019_I1736531
Hist ID:
/ATLAS_2019_I1736531/d381-x01-y01
ATLAS experiment:
data
|
article paper
|
hepdata
Pythia 6 (391:ICT6L):
data
|
generator card
Pythia 6 (393:ICT6N):
data
|
generator card
Pythia 6 (394:ICT10N):
data
|
generator card
Pythia 6 (395:IM8N):
data
|
generator card