ee : γ*/Z (hadronic)

Aplanarity B(Total) B(Max) B(Min) ΔB(Max-Min) C parameter D parameter EEC EEC Asymmetry M(Heavy Hemisph) M(Light Hemisph) ΔM(Heavy-Light) Planarity Sphericity Thrust 1-Thrust Thrust Major Thrust Minor Thrust Oblateness

ee : γ*/Z (hadronic) : Aplanarity

ℹ️Choose generators/versions/tunes to plot : either from a pre-defined preset (left button) or from all available MCs (right button)

ee @ 206 GeV

Plot of A in 206 GeV ee collisions

ee @ 197 GeV

Plot of A in 197 GeV ee collisions

ee @ 133 GeV

Plot of A in 133 GeV ee collisions
Plot of A in 133 GeV ee collisions

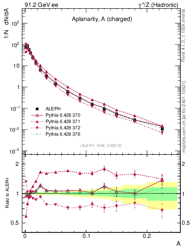
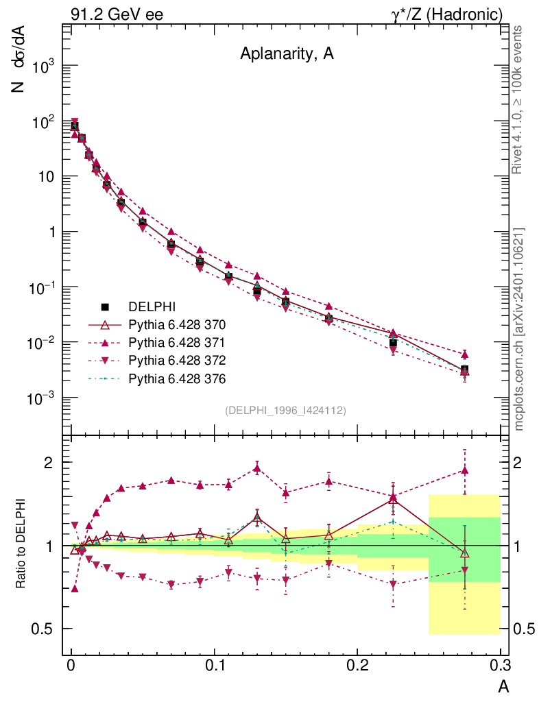
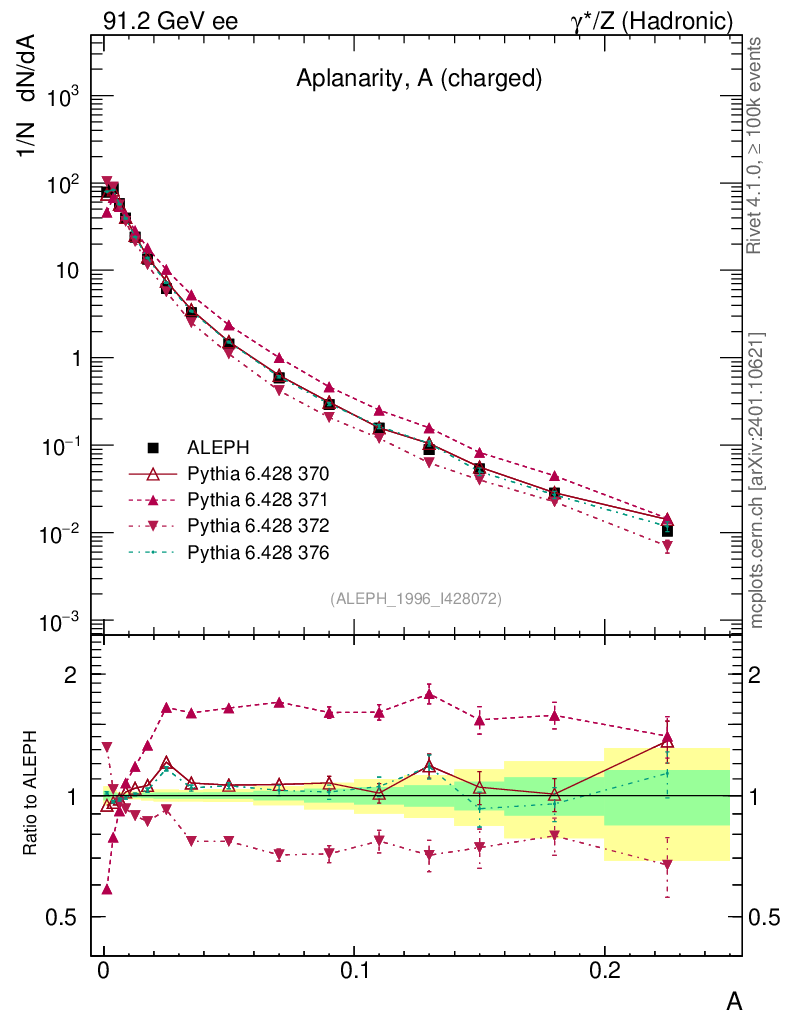
ee @ 91 GeV

Plot of A in 91 GeV ee collisions
Plot of A in 91 GeV ee collisions
Plot of A in 91 GeV ee collisions
Plot of A in 91 GeV ee collisions