LHC@HOME
COMPARISON
Tunes
Generators
PLOTS
4-lepton
b
b
Elastic
Jets
Soft QCD (inelastic)
Soft QCD (nsd only)
Total σ
Top (t-channel)
Top (all)
Top (parton level)
Top (t
t
)
Underlying Event
W+Jet
W
WW
Z+Jet
ee : γ*/Z (hadronic)
Z (Drell-Yan)
ABOUT
Z (Drell-Yan)
Underlying event
<Nch> vs p
T
Z
<p
T
>
<p
T
> vs p
T
Z
Σ(pT) vs p
T
Z
p
T
spectrum
Nch
Scalar Σ(p
T
)
Jet Substructure
Splitting scale d0
Splitting scale d1
Splitting scale d2
Splitting scale d3
Splitting scale d4
Splitting scale d5
Splitting scale d6
Splitting scale d7
Dilepton
Δη
m
φ
*
η
φ
*
η
ratio
p
T
y
Jet Multiplicities
Jet multiplicity
Ratios of jet multiplicity
pT(Z) ratio
Z (Drell-Yan) : Dilepton : y
Matched/Merged MCs : Madgraph5_aMC@NLO
General-Purpose MCs
Main
Herwig vs Pythia
Pythia 6 vs 8
All C++ Generators
Soft-Inclusive MCs
Min-Bias Tunes
UE Tunes
EPOS vs Pythia
Pythia 8
Matched/Merged MCs
Main
Madgraph5_aMC@NLO
vs GPMCs
Powheg-Box
Herwig
Main
Herwig++
Powheg
Herwig7 vs Pythia
Herwig7 vs Sherpa
Pythia 8
Main
A14
AU2-PDFs
Diffraction
LEP
Rad Variations
No CR
4Cx
Tevatron
Py8 vs Py6
Py8 vs Herwig
Py8 vs Sherpa
Pythia 6
Main
Py6 vs Py8
P12-RadFrag
P12-MpiCR
AMBT2 vs Z2
AUET2B-PDFs
P12-PDFs
CTEQ6 vs LO*
IBK LOPDFs
IBK NLOPDFs
Perugia History
P11-All
LHC tunes
Tevatron
Old vs P12
Sherpa
Main
Matching/Merging
Customize
ℹ️
Choose generators/versions/tunes to plot : either from a pre-defined preset (left button) or from all available MCs (right button)
pp @ 13000 GeV
details
Download as:
.pdf
.eps
.png
.script.tgz
#
CMS experiment:
data
|
article paper
MadGraph5 (LO):
data
|
generator card
MadGraph5 (LO 1jet):
data
|
generator card
MadGraph5 (LO 2jet):
data
|
generator card
details
Download as:
.pdf
.eps
.png
.script.tgz
#
CMS experiment:
data
|
article paper
MadGraph5 (LO):
data
|
generator card
MadGraph5 (LO 1jet):
data
|
generator card
MadGraph5 (LO 2jet):
data
|
generator card
details
Download as:
.pdf
.eps
.png
.script.tgz
#
CMS experiment:
data
|
article paper
MadGraph5 (LO):
data
|
generator card
MadGraph5 (LO 1jet):
data
|
generator card
MadGraph5 (LO 2jet):
data
|
generator card
details
Download as:
.pdf
.eps
.png
.script.tgz
#
CMS experiment:
data
|
article paper
MadGraph5 (LO):
data
|
generator card
MadGraph5 (LO 1jet):
data
|
generator card
MadGraph5 (LO 2jet):
data
|
generator card
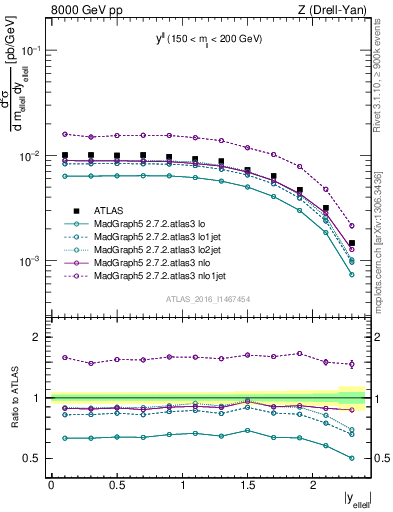
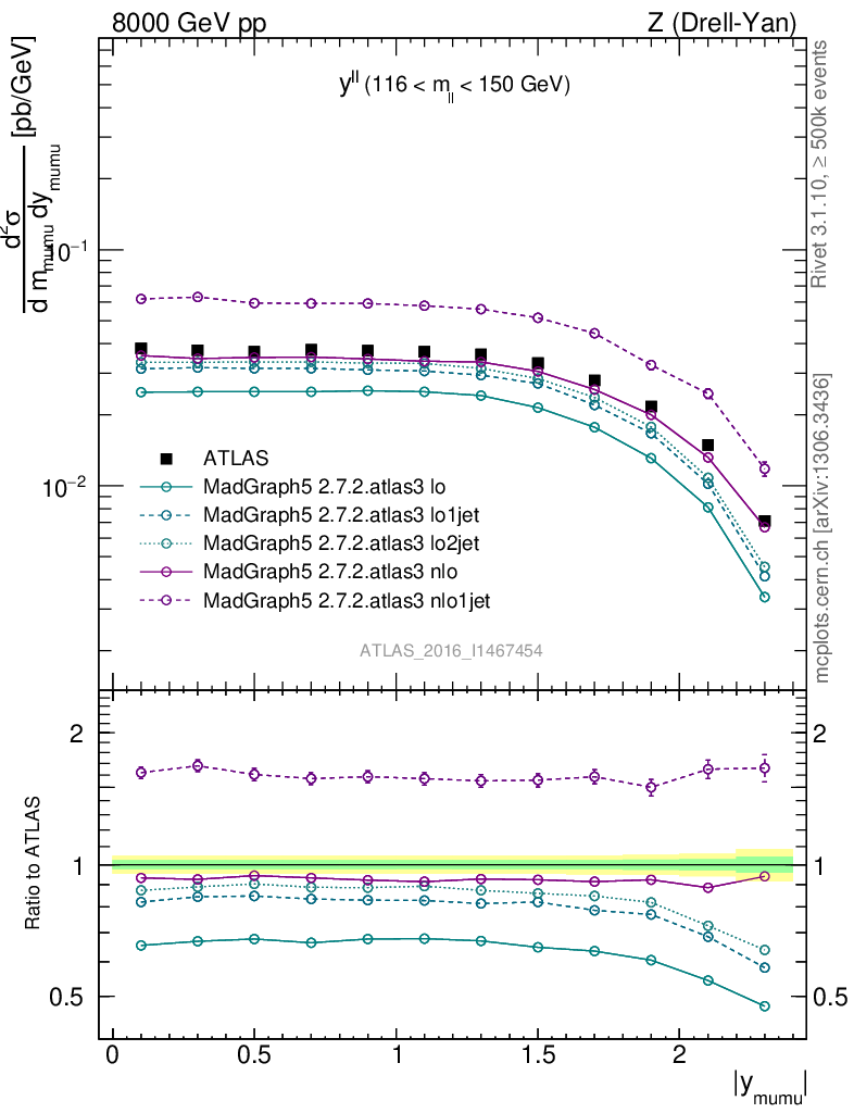
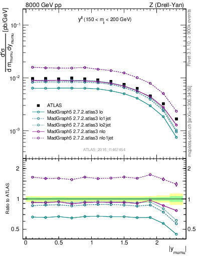
pp @ 8000 GeV
details
Download as:
.pdf
.eps
.png
.script.tgz
#
ATLAS experiment:
data
|
article paper
MadGraph5 (LO):
data
|
generator card
MadGraph5 (LO 1jet):
data
|
generator card
MadGraph5 (LO 2jet):
data
|
generator card
MadGraph5 (NLO):
data
|
generator card
MadGraph5 (NLO 1jet):
data
|
generator card
details
Download as:
.pdf
.eps
.png
.script.tgz
#
ATLAS experiment:
data
|
article paper
MadGraph5 (LO):
data
|
generator card
MadGraph5 (LO 1jet):
data
|
generator card
MadGraph5 (LO 2jet):
data
|
generator card
MadGraph5 (NLO):
data
|
generator card
MadGraph5 (NLO 1jet):
data
|
generator card
details
Download as:
.pdf
.eps
.png
.script.tgz
#
ATLAS experiment:
data
|
article paper
MadGraph5 (LO):
data
|
generator card
MadGraph5 (LO 1jet):
data
|
generator card
MadGraph5 (LO 2jet):
data
|
generator card
MadGraph5 (NLO):
data
|
generator card
MadGraph5 (NLO 1jet):
data
|
generator card
details
Download as:
.pdf
.eps
.png
.script.tgz
#
ATLAS experiment:
data
|
article paper
MadGraph5 (LO):
data
|
generator card
MadGraph5 (LO 1jet):
data
|
generator card
MadGraph5 (LO 2jet):
data
|
generator card
MadGraph5 (NLO):
data
|
generator card
MadGraph5 (NLO 1jet):
data
|
generator card
details
Download as:
.pdf
.eps
.png
.script.tgz
#
ATLAS experiment:
data
|
article paper
MadGraph5 (LO):
data
|
generator card
MadGraph5 (LO 1jet):
data
|
generator card
MadGraph5 (LO 2jet):
data
|
generator card
MadGraph5 (NLO):
data
|
generator card
MadGraph5 (NLO 1jet):
data
|
generator card
details
Download as:
.pdf
.eps
.png
.script.tgz
#
ATLAS experiment:
data
|
article paper
MadGraph5 (LO):
data
|
generator card
MadGraph5 (LO 1jet):
data
|
generator card
MadGraph5 (LO 2jet):
data
|
generator card
MadGraph5 (NLO):
data
|
generator card
MadGraph5 (NLO 1jet):
data
|
generator card
details
Download as:
.pdf
.eps
.png
.script.tgz
#
ATLAS experiment:
data
|
article paper
MadGraph5 (LO):
data
|
generator card
MadGraph5 (LO 1jet):
data
|
generator card
MadGraph5 (LO 2jet):
data
|
generator card
MadGraph5 (NLO):
data
|
generator card
MadGraph5 (NLO 1jet):
data
|
generator card
details
Download as:
.pdf
.eps
.png
.script.tgz
#
ATLAS experiment:
data
|
article paper
MadGraph5 (LO):
data
|
generator card
MadGraph5 (LO 1jet):
data
|
generator card
MadGraph5 (LO 2jet):
data
|
generator card
MadGraph5 (NLO):
data
|
generator card
MadGraph5 (NLO 1jet):
data
|
generator card
details
Download as:
.pdf
.eps
.png
.script.tgz
#
ATLAS experiment:
data
|
article paper
MadGraph5 (LO):
data
|
generator card
MadGraph5 (LO 1jet):
data
|
generator card
MadGraph5 (LO 2jet):
data
|
generator card
MadGraph5 (NLO):
data
|
generator card
MadGraph5 (NLO 1jet):
data
|
generator card
details
Download as:
.pdf
.eps
.png
.script.tgz
#
ATLAS experiment:
data
|
article paper
MadGraph5 (LO):
data
|
generator card
MadGraph5 (LO 1jet):
data
|
generator card
MadGraph5 (LO 2jet):
data
|
generator card
MadGraph5 (NLO):
data
|
generator card
MadGraph5 (NLO 1jet):
data
|
generator card
pp @ 7000 GeV
details
Download as:
.pdf
.eps
.png
.script.tgz
#
LHCB experiment:
data
|
article paper
MadGraph5 (LO):
data
|
generator card
MadGraph5 (LO 1jet):
data
|
generator card
MadGraph5 (LO 2jet):
data
|
generator card
MadGraph5 (NLO):
data
|
generator card
MadGraph5 (NLO 1jet):
data
|
generator card